いろいろ 薬剤師国家試験 100回 303286
31 岐阜薬科大学 103 100 79 7900 76 75 66 00 11 10 1 1000 16 15 12 8000 32 静岡県立大学 96 92 80 8696 79 79 74 9367 5 2 0 000 12 11 6 5455 33 名古屋市立大学 71 8554 64 64 57 06 10 5 2 4000 15 14 12 8571 第106回薬剤師国家試験 大学別合格者数 薬学まとめました トップページ > 薬剤師国家試験過去問の解説 > 薬剤師国家試験100回過去問解説 > 法規・制度・倫理 (必須) > 問 解説5 名無しさん@おだいじに (月) ID???
薬剤師国家試験 第100回 過去問解説 一覧 E Rec わかりやすい解説動画
薬剤師国家試験 100回
薬剤師国家試験 100回-第105回薬剤師国家試験問題及び解答(令和2年2月22日、2月23日実施) PDFファイルを見るためには、Adobe Readerというソフトが必要です。 Adobe Readerは無料で配布されていますので、こちらからダウンロードしてください。第105回 薬剤師 国家試験 大学別合格状況 徳島大 67 65 55 8462 44 42 39 9286 国立大 出願者数 受験者数 合格者数 合格率 出願者数 受験者数 合格者数 合格率 北海道大 36 35 31 57 29 29 29 東北大 32 28 24 8571 上田 晴久,阿部 和穂『薬剤師国家試験問題解答・解説



薬剤師国家試験 第100回 問118 過去問解説 E Rec わかりやすい解説動画
2.第105回薬剤師国家試験 大学別合格者数 第105回薬剤師国家試験 大学別合格者数はこちら(pdf形式) 3.第105回薬剤師国家試験 合格基準薬剤師国家試験 平成27年度 第100回 一般 理論問題 問 116 あるタンパク質の遺伝子において1塩基置換型の変異が起こった結果、対応するアミノ酸がグルタミン酸からバリンに置き換わった変異タンパク質が生じた。薬剤師国家試験 平成27年度 第100回 必須問題 問 78 国民医療費に関する記述のうち、正しいのはどれか。1つ選べ。 1 一般用医薬品の購入費用は含まれない。 2 財源の80%以上は、保険料である。 3 薬局調剤医療費は、近年横ばい傾向にある。
薬学まとめました トップページ > 薬剤師国家試験過去問の解説 > 薬剤師国家試験100回過去問解説 > 法規・制度・倫理 (実践) > 問 解説第100回薬剤師国家試験の内容を試験時間ごとにまとめて掲載しています。 <第100回薬剤師国家試験> ・ 必須問題 (問1〜90) ・ 理論問題① (問91〜150)薬剤師国家試験過去問題集 科目別まとめ一覧 へ 薬剤師国家試験過去問題集 化学 立体化学 へ 第100回薬剤師国家試験 問7の1 解答解説 1 オメプラゾールはイオウ原子上に不斉中心を持つ。 r1-s(=o)-r2の構造をスルホキシドと呼ぶ。
第102回薬剤師国家試験問題及び解答(平成29年2月25日、2月26日実施) PDFファイルを見るためには、Adobe Readerというソフトが必要です。 Adobe Readerは無料で配布されていますので、左記のアイコンをクリックしてダウンロードしてください。 ホーム > 政策に 薬学まとめました トップページ > 薬剤師国家試験過去問の解説 > 薬剤師国家試験100回過去問解説 > 法規・制度・倫理 (理論) > 問 解説 第106回薬剤師国家試験スレです。 厚生労働省 使えない歳上薬剤師や事務に対して言ってやったのになんで俺が辞めなきゃいけないんだよ 辞めるのは無能な先輩面した無能薬剤師や事務



第100回薬剤師国家試験275問 解説



101回薬剤師国家試験の合格率が発表 全体77 新卒86 薬ゴロ 薬学生の国試就活サイト
それを受けて、前年の第100回薬剤師国家試験では7割以下だった合格率が、第101回薬剤師国家試験では76 第105回の真の合格率、順位も併せて表記 国公立大学合格率ランキング 大学名 出願者数 受験者数 合格者数 合格率 真の合格率 105回真の合格率 105回順位第101回薬剤師国家試験問題及び解答(平成28年2月27日、2月28日実施) PDFファイルを見るためには、Adobe Readerというソフトが必要です。 Adobe Readerは無料で配布されていますので、こちらからダウンロードしてください。 薬学まとめました トップページ > 薬剤師国家試験過去問の解説 > 薬剤師国家試験100回過去問解説 > 化学 (必須) > 問 1008 解説 問8 メソ化合物はどれか。



1



薬剤師国家試験 第100回 過去問解説 一覧 E Rec わかりやすい解説動画
The latest tweets from @penicillin0157 薬学まとめました トップページ > 薬剤師国家試験過去問の解説 > 薬剤師国家試験100回過去問解説 最新(106 回)・105回・104回の国試は新サイトで解説しています。 薬学まとめました トップページ > 薬剤師国家試験過去問の解説 > 薬剤師国家試験100回過去問解説 > 実務 (実践) > 問 解説 問333



第100回薬剤師国家試験 めでぃやま大当たり Medisere講師のserendipity



薬剤師国家試験の合格率は 最近の推移と傾向を解説
第103回薬剤師国家試験 問100 図は、ある酸素化学種の分子軌道のエネルギー準位と電子配置を模式的に表したものである。 この酸素化学種はどれか。 1つ選びなさい。 1 一重項酸素 2 三重項酸素 3 スーパーオキシド(O2-) 4 過酸化物イオン(O2 2-) 5第100回薬剤師国家試験 問106 カンデサルタン シレキセチルに関する記述のうち誤っているのはどれか。2つ選べ。 1 ベンゾイミダゾール骨格をもつ。 2 テトラゾリル基は、カルボキシ基の生物学的等価 薬学まとめました トップページ > 薬剤師国家試験過去問の解説 > 薬剤師国家試験100回過去問解説 > 法規・制度・倫理 (理論) > 問 解説



第100回薬剤師国家試験171問 解説



100回 薬剤師国家試験の合格率 大学別ランキング Gorokichi Co ゴロ吉商事
第100回薬剤師国家試験 第100回薬剤師国家試験 問250〜251 年4月11日 第100回薬剤師国家試験 問250〜251第107回薬剤師国家試験スレです。 物理は点数とりやすいのか? 4 名無しさん@おだいじに (月) ID???第100回薬剤師国家試験に異議あり! コメディカル 印刷 午前最後の患者さんを見送ったあと、薬局の大きな窓から高く澄み渡った青空



第100回薬剤師国家試験 問138 Youtube



ヤフオク 100回薬剤師国家試験の中古品 新品 未使用品一覧
取付店直送可 送料無料 オールシーズンタイヤホイールセット 。195/60r16 93v ミシュラン クロスクライメイトプラスレイズ ボルクレーシング ze40 ブロンズ 6j新品オールシーズンタイヤホイール4本第105回薬剤師国家試験の採点にあたって考慮した問題について 2日目③一般問題(薬学実践問題) 問299 採点上の取扱い 複数の選択肢を正解として採点する。 理 由 複数の正解があるため。 資料3第100回薬剤師国家試験 第100回薬剤師国家試験 問134 年4月11日 第100回薬剤師国家試験 問134



薬剤師国家試験 メディセレ提供 第96 100回過去問題集 App And Sdk Intelligence Mobile App And Sdk Intelligence For Ios And Android



Www Mhlw Go Jp File 06 Seisakujouhou Iyakushokuhinkyoku Pdf
第100回薬剤師国家試験問題及び解答(平成27年2月28、3月1日実施) 第100回薬剤師国家試験問題及び解答(平成27年2月28、3月1日実施) 1日目 (1) 必須問題[PDF形式:908KB] 1日目 (2) 薬学一般問題[PDF形式:4,778KB]第100回薬剤師国家試験の試験委員を次のとおり公告する。 平成26年8月日 厚生労働大臣 田村 憲久 第107回薬剤師国家試験 2日目 1 名無しさん@おだいじに (土) ID???



薬学ゼミナール 薬ゼミ 薬ゼミサイト更新 大学別合格状況 6年制国家試験合格率 合格者数推移 などを公開しました T Co Aqryizztlu 薬ゼミ 第104回薬剤師国家試験



100回薬剤師国家試験 問2 2解説 薬学 これでok
第100回 薬剤師国家試験過去問を解説するページです。必須問題の演習を通じたcbt 対策や国試対策の第一歩としても活用してもらえると嬉しいです。 100回 問1~問5 (必須/物理) 問6~問10 (必須/化学) 問11~問15 (必須/生物) 問16~問25 (必須/衛生) 問26~問40 (必須/薬理) 問41~第100回薬剤師国家試験を受けたけど質問ある? 第100回薬剤師国家試験を受けたけど質問ある? 転載禁止©2chnet 転載禁止©2chnet 1 : 以下、転載禁止でVIPがお送りします :(月) IDijekImta0 第100回薬剤師国家試験 問330 非小細胞肺がん患者への処方1〜3薬剤師国家試験 平成27年度 第100回 一般 実践問題 問 236,237 22歳女性。数日前より下腹部に違和感があり、外陰部のかゆみに加え、おりものに異常がみられた。テレビで膣カンジダ症に使用する薬が発売されたことを知って来局し、薬剤師に相談した。



Www Mhlw Go Jp File 06 Seisakujouhou Iyakushokuhinkyoku Pdf



第100回薬剤師国家試験 めでぃやま大当たり Medisere講師のserendipity
薬学まとめました トップページ > 薬剤師国家試験過去問の解説 > 薬剤師国家試験100回過去問解説 > 物理・化学・生物 (実践) > 問1009 解説薬剤師国家試験 平成27年度 第100回 必須問題 問 8 メソ化合物はどれか。1つ選べ。 rec講師による詳細解説!薬剤師国家試験 平成27年度 第100回 一般 理論問題 問 127 肝炎ウイルス感染症に関する記述のうち、正しいのはどれか。 2つ 選べ。 1 肝細胞がんによる死亡者の多くは、c型肝炎ウイルスの持続感染者(キャリア)である。



100回薬剤師国家試験 問218 219解説 薬学 これでok



第100回薬剤師国家試験 問193 Yakugaku Lab
薬剤師国家試験 平成27年度 第100回 一覧 統計情報 出願者数:16,546名 受験者数:14,316名 合格者数:9,044名 合格率:6317% 不適切問題3問に加えて補正対象問題が11問あった異例の年であり、点数の底上げが行われたが合格率は低めであった。 問 1 必須問題第106回 | 第105回 | 第104回 | 第103回 | 第102回 | 第101回 | 第100回 | 第99回 | 第98回 | 第97回 | 第96回 表組は横にフリックすることが出来ます第100回薬剤師国家試験 第100回薬剤師国家試験 問109 年4月11日 第100回薬剤師国家試験 問109



薬学ゼミナール 既出問題集 第99回 第100回 薬剤師国家試験 2冊セット 医療関連資格 売買されたオークション情報 Yahooの商品情報をアーカイブ公開 オークファン Aucfan Com



100回薬剤師国家試験 問264 265解説 薬学 これでok
薬剤師国家試験 平成27年度 第100回 必須問題 問 10 iupacの置換命名法において、最も優先順位の高い官能基はどれか。1つ選べ。 2 ) rec講師による詳細解説! 解説を表示 解答 3 iupac置換命名法における代表的な官能基の優先順位を以下に示す。第100回薬剤師国家試験171問 解説 第 100 回薬剤師国家試験 問題 171 1 さて、今回は今までにない AUC という大切なキーワードについて学んでいこ う。 日本語訳は、血中濃度時間曲線下面積・・・やたら長いな。 まずはこの AUC という言葉の定義から確認して 第107回薬剤師国家試験 1日目 861コメント 国家試験の段階ではfラン増やしてどうするのって思うかもしれないが 数が増えて免許とってからの競争が生まれる方が客のためになる fランでも免許さえとってしまえば就職に困ることはないが



第100回薬剤師国家試験 受験率 卒業率



第100回 薬剤師国家試験既出問題集 改訂版 回数別既出問題集 第17改正 日本薬局方 対応版 改訂版 本 通販 Amazon
100回薬剤師国家試験 問211改題 解答解説 オピオイド受容体に作用する鎮痛薬は、2のペンタゾシン(ソセゴン,ペンタジン)と5のペチジン(オピスタン)である。 内因性オピオイドペプチドのN末端のチロシンは、下記のような空間配置を取る。 このこと 第100回薬剤師国家試験 4日目 1 : 名無しさん@おだいじに :(土) IDZCg9YGc0net 記念すべき100回目の薬剤師国家試験合格を目指すスレッドです。



第100回薬剤師国家試験 問328 Youtube



どうなる 第101回薬剤師国家試験のゆくえ M3 Com



薬剤師免許 カード



国家試験会場が国試浪人で埋め尽くされる 日経メディカル



第100回薬剤師国家試験 受験率 卒業率



ヤフオク 100回薬剤師国家試験の中古品 新品 未使用品一覧



第100回 薬剤師国家試験既出問題集 改訂版 回数別既出問題集 第17改正 日本薬局方 対応版 改訂版 本 通販 Amazon



生薬学の四方山話 第100回薬剤師国家試験 問214 215 複合問題 その2 問215



8fg1fitxqvqmsm



薬ゼミブックスウェブストア 第100回薬剤師国家試験既出問題集 改訂17局対応



Paypayフリマ 第100回薬剤師国家試験 過去問 メディセレ ステップアップ式過去問集 過去問のススメ Medisere 問題集



メルカリ 薬剤師国家試験 過去問 2年分 100回 101回 セット 参考書 2 000 中古や未使用のフリマ



第100回薬剤師国試で歯科医師国家試験に役立ちそうな問題 歯科医師国家試験 臨床問題を熱く語るブログ



第100回 薬剤師国家試験の通販 By まりな ラクマ



第100回薬剤師国家試験を振り返る 薬事日報ウェブサイト 薬学生版



第100回薬剤師国家試験 ごだいくんのブログ



薬剤師国家試験対策予備校 ファーマプロダクト ファーマプロダクト新着情報473



薬剤師国家試験 メディセレ提供 第96 100回過去問題集 On Windows Pc Download Free 1 9 Jp Medisere Kakomon



第100回薬剤師国試直前最終チェックポイント 薬事日報ウェブサイト 薬学生版



3



スマホで薬剤師国試ゴロ 第103回薬剤師国家試験の合格率は60 65 か 難易度を分析 過去6年間比較をしてみました 薬ゼミの自己採点システム結果を追加 T Co Sdem5e9rbd



薬学生の独り言 第100回薬剤師国家試験必須問題振り返り 生物



薬剤師国家試験 第100回 問118 過去問解説 E Rec わかりやすい解説動画



トップpdf 第100回薬剤師国家試験問題 15年 123deta Jp



第100回薬剤師国試 合格率63 17 Di Online



薬剤師国家試験 大学別合格率とその裏側 学校選びの道しるべ 開成教育グループ 入試情報室 学校 入試情報ブログ



薬剤師国家試験 学校別合格率 医療系国家試験の情報



第100回薬剤師国家試験 問260 261 Yakugaku Lab



第100回薬剤師国家試験 解答 医療系国家試験の情報



第100回薬剤師国家試験 解答 医療系国家試験の情報



100回薬剤師国家試験 問298 299解説 薬学 これでok



100回薬剤師国家試験 問2 3解説 薬学 これでok



モルヒネの構造をもとに開発された鎮痛薬はどれか 100



問11 100回 薬剤師国家試験問題と解説 薬剤師 薬学生のメモ帳



第100回薬剤師国家試験 問252 253 Yakugaku Lab



第100回薬剤師国家試験 合格率63 17 で微増 実数では6年制最多の9044人 薬事日報ウェブサイト 薬学生版



メルカリ 2冊セット薬ゼミ100回93回 薬剤師国家試験 回数別既出問題集 参考書 5 500 中古や未使用のフリマ



過去問 第100回薬剤師国家試験 さく 薬剤師国家試験応援アカウント Note



第100回薬剤師国家試験 問240 241 複合問題 問241 生薬学の四方山話



こんな問題出していいのか 第100回薬剤師国家試験 15年 平田の薬剤師塾 薬のことを分かりやすく丁寧に



第100回薬剤師国家試験 問109 Yakugaku Lab



第100回薬剤師国家試験 問210 211 Yakugaku Lab



薬剤師国家試験 回数別既出問題集 100回 新品 未使用の通販 By ぺんちゃん S Shop ラクマ



薬学ゼミナール 既出問題集 第99回 第100回 薬剤師国家試験 2冊セット 医療関連資格 売買されたオークション情報 Yahooの商品情報をアーカイブ公開 オークファン Aucfan Com



100回薬剤師国家試験 問262 263解説 薬学 これでok



薬剤師国家試験 第100回 問193 過去問解説 E Rec わかりやすい解説動画



第100回 薬剤師国家試験の通販 By まりな ラクマ



第103回薬剤師国家試験の合格率は60 65 か 得点率を比較し難易度を分析した 薬ゴロ 薬学生の国試就活サイト



第100回薬剤師国家試験 問211 生薬学の四方山話



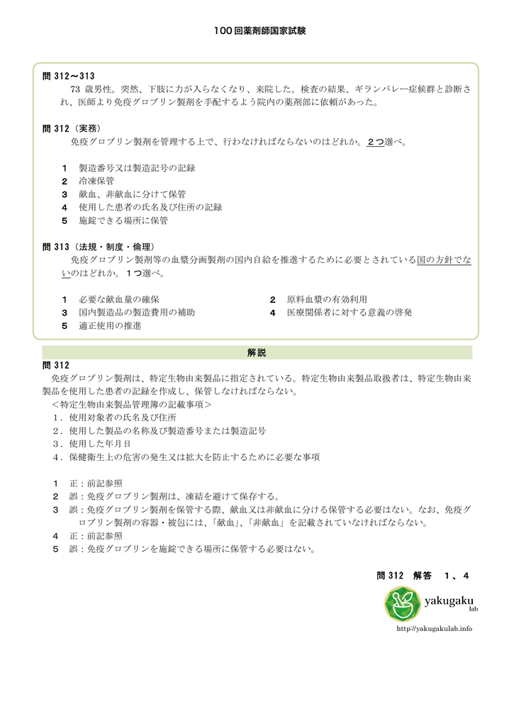
100 回薬剤師国家試験 問 312 313 73 歳男性 突然 下肢に力が入ら



薬学生の独り言 第100回薬剤師国家試験必須問題振り返り 物理 化学



第100回薬剤師国家試験問題解説書 新 国試がわかる本16 別冊 第100回薬剤師国家試験問題解説書 編 本 通販 Amazon



1



メルカリ 100回薬剤師国家試験問題 過去問 ビジネス 経済 1 000 中古や未使用のフリマ



標的酵素の活性部位と共有結合を形成するのはどれか 100



第100回薬剤師国家試験を受験する薬学生へ ファーマシスタ 薬剤師専門サイト



第100回 薬剤師国家試験 既出問題集 薬学ゼミナール 紀伊國屋書店ウェブストア オンライン書店 本 雑誌の通販 電子書籍ストア



第100回薬剤師国家試験 問93 前編 Youtube



第100回薬剤師国家試験問題完成攻略ナビ 問題編 ファーマプロダクト 本 通販 Amazon



100回薬剤師国家試験 問228 229解説 薬学 これでok



第100回薬剤師国家試験 問273 Youtube



薬剤師国家試験 第100回 問101 過去問解説 E Rec わかりやすい解説動画



第101回薬剤師国家試験がおわった ごちゃまぜ浮浪録



走る 衛生 Twitter Ver 放射線 第100回 問22 薬剤師国家試験対策ノート Youtube



100回 薬剤師国家試験問題 解答 解説 薬学教育センター 本 通販 Amazon



95 回薬剤師国家試験 問 179 日本薬局方一般試験法に関する記述の



松廼屋 論点解説 薬剤師国家試験対策ノート問100 122 衛生 論点 食品添加物 松廼屋 Mats Thebase



薬学ゼミナール 第100回薬剤師国家試験総評 Youtube



松廼屋 論点解説 薬剤師国家試験対策ノート問100 123 衛生 論点 食品の安全 化学物質汚染 Matsunoya Note



薬剤師国家試験 第100回 問238 239 過去問解説 E Rec わかりやすい解説動画



Os96 003 メディセレ教育出版 第100回 104回 薬剤師国家試験 考えながら学ぶ 演習型解説書 15 19 計5冊 L3d の落札情報詳細 ヤフオク落札価格情報 オークフリー スマートフォン版



第100回薬剤師国家試験 問107 Yakugaku Lab



薬剤師 国家 試験 第100回薬剤師国家試験 問138 Docstest Mcna Net



薬剤師国家試験から学ぶ あなたもひっかかるかも H Nmr 理系社会人の日常



100回薬剤師国家試験 問286 287解説 薬学 これでok



薬剤師 国家 試験 第100回薬剤師国家試験 問138 Docstest Mcna Net



第100回薬剤師国家試験 問2 2 Yakugaku Lab



Paypayフリマ 第91 96回 100回 104回 メディセレ薬剤師国家試験



第100回薬剤師国家試験 問222 223 Yakugaku Lab



第100回薬剤師国家試験



第100回薬剤師国家試験で新卒者合格率70 8 ニュース 一覧 就実大学 就実短期大学



第100回薬剤師国家試験 名城大学が既卒者を含めた合格率で全国私立大学第2位 ニュース 名城大学

コメント
コメントを投稿